
2021 5月10日 09:43
2020 阿尔伯特·德瓦(albert derwa, herent),2020年kbdb中长距离老鸽& 一岁鸽最佳鸽舍全国1位
阿尔伯特(Albert)和法兰欣(Francine),法兰欣(Francine)和 阿尔伯特(Albert),夫妇俩联手50 年,我们无法想象没有他/她们的赛鸽运动,不仅是因为他们所取得的让人叹为观止、震撼寰宇的梦幻般的翔绩成绩,也因为他们的善良大方,心胸开阔。每当思虑至此,我的脑海中浮现出他们的形象,这些年来我从未见过不带微笑的阿尔伯特,他总是开着玩笑,幽默之极...... 不过当他谈论起鸽子,他又无比的严谨。阿尔伯特(Albert),鸽友,法兰欣(Francine),男人背后的女人,能说4种语言,善于处理管理和商业上的事情。他们是一对顶级赛鸽夫妇,他们可以把一切事情发挥到极致,这正是他们在赛鸽运动中所做的,并能保持一直站在顶端!
首先让我们看看 2016 年至 2020 年间的鸽王头衔以及最佳翔绩,之后看看哪些鸽子促进了梦想的实现。
2016 - 2020年鸽王头衔以及最佳翔绩
2020年奥林匹克希望奥林匹克D类全能鸽王比利时1位
2020年奥林匹克希望奥林匹克D类全能鸽王比利时2位
2020年奥林匹克希望奥林匹克H类老鸽鸽王比利时1位
2020年KBDB中长距离老鸽& 一岁鸽王全国1位
2020年KBDB中长距离老鸽鸽王全国2位
2020年KBDB 弗拉姆-布拉邦查特鲁 III省赛老鸽组472羽1-3-10-13-14名等
2020年KBDB亚精顿 II国家赛老鸽组4.606羽1名
2020年KBDB拉苏特年 I国家赛区B2区老鸽组2.747羽1名和3名
2020年KBDB 弗拉姆-布拉邦中长距离老鸽最佳鸽舍省3位
2020年KBDB 弗拉姆-布拉邦中长距离老鸽鸽王省3位
2020年KBDB 弗拉姆-布拉邦全能幼鸽鸽王省2位
2019年KBDB 弗拉姆-布拉邦萨布里斯省赛老鸽组1.373羽1名
2019年KBDB 弗拉姆-布拉邦布里斯省赛一岁鸽组2.420羽2-3-7名
2019年KBDB亚精顿 II国家赛B2区老鸽组1.878羽1-4-5名
2019年KBDB 弗拉姆-布拉邦亚精顿 II省赛老鸽组448羽1-3-4名
2019年KBDB 弗拉姆-布拉邦查特鲁 III省赛老鸽组309羽1-3-5名
2019年KBDB 弗拉姆-布拉邦中短距离幼鸽鸽王省1位
2019年KBDB 弗拉姆-布拉邦全能老鸽鸽王省2位
2019年KBDB 弗拉姆-布拉邦全能一岁鸽王省1位
2019年KBDB 弗拉姆-布拉邦全能幼鸽鸽王省1位
2019年波兹南比利时奥林匹克H类老鸽鸽王3位
2019年波兹南比利时奥林匹克D类全能鸽王2位
2018年KBDB亚精顿 III 国家赛老鸽组3.322羽1名
2018年KBDB 弗拉姆-布拉邦布鲁瓦省赛老鸽组303羽1-5-6-10名
2018年KBDB 弗拉姆-布拉邦勒芒斯省赛老鸽组225羽1-2-4-5-6-7-8-9名
2018年KBDB 弗拉姆-布拉邦查特鲁省赛一岁鸽组382羽1名和7名
2018年KBDB 弗拉姆-布拉邦布鲁瓦省赛一岁鸽组2.802羽1名
2018年比利时继任者和铜鸽2位
2018年KBDB 弗拉姆-布拉邦中长距离老鸽鸽王省3位
2018年KBDB 弗拉姆-布拉邦全能老鸽鸽王省2位和3位
2018年KBDB 弗拉姆-布拉邦全能一岁鸽王省3位
2017年波治联省老鸽组493羽1名
2017年KBDB 弗拉姆-布拉邦布鲁瓦省赛老鸽组380羽1名
2017年BU威尔森省赛一岁鸽组2.258羽1名
2017年KBDB 弗拉姆-布拉邦波治 I省赛老鸽组351羽1名
2017年KBDB 弗拉姆-布拉邦威尔森省赛一岁鸽组2.258羽1名
2017年KBDB 弗拉姆-布拉邦波治 I省赛老鸽组351羽1名
2017年KBDB 弗拉姆-布拉邦中长距离最佳一岁鸽舍省3位
2017年KBDB 弗拉姆-布拉邦中长距离一岁鸽鸽王省3位
2017年KBDB 弗拉姆-布拉邦中长距离老鸽鸽王省3位
2017年KBDB 弗拉姆-布拉邦全能老鸽鸽王省1位
2017年KBDB 弗拉姆-布拉邦全能一岁鸽王省1位
2016年KBDB 弗拉姆-布拉邦查特鲁省赛一岁鸽组358羽1名
‘宝琳(Paulien)’, ‘天之骄子’, ‘不可征服号(Invictus)’, ‘瓦伦蒂诺(Valentino)’等等,属于德瓦血系的几羽铭鸽 !
我不再介绍上面的这几羽鸽子了, 每个人都熟知它们,也知道它们的成就。从超级赛将到超级育种鸽,迄今为止,它们无论在自己的鸽舍还是为其他鸽舍,都同样取得了很大的成功。这些鸽仍然是阿尔伯特(Albert)育种鸽舍的根基,不过他愿意偶尔引入一些新血液。这就是他有机会与杨·胡曼斯(Jan Hooymans)共同作育的原因。杨非常喜欢‘宝琳(Paulien)’,询问是否她可以和他的 "哈利" 配对,接下来的事情就顺理成章了。此外,坤·明德豪(Koen Minderhout)的世界铭鸽'黄眼'也找来了,所以您可以在鸽舍找到一些 "哈利"和‘黄眼’的代表,这些合作非常成功!最新的成功案例之一是“黄眼直子”X“哈利直女” 再加上一些德瓦血系作出的一羽鸽,起名叫 ‘达维尼亚(Davinia)’ (BE18-2093024) ,上个赛季获得:
2020年KBDB中长距离老鸽鸽王全国2位.
我们很高兴地为您介绍这羽鸽:
BE18-2093024 ‘达维尼亚(Davinia)’
2020年锦标赛:
奥林匹克D 类全能鸽王比利时1位
2020年KBDB中长距离老鸽鸽王全国2位
2020年LCB王中王老鸽& 一岁鸽王全国1位
2020年LCB王中王老鸽& 一岁鸽王弗兰德1位
2020年LCB中距离黄金鸽王2位
2020年KBDB中长距离老鸽鸽王省3位
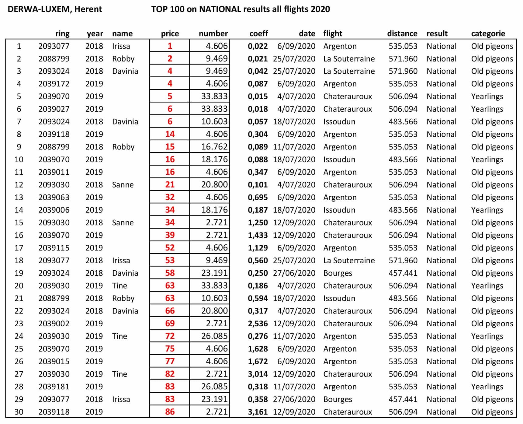
成为2020年鸽王全国2位 :
拉苏特年国家赛 9,469羽 4名 571公里
伊苏丹国家赛 10,603羽 6名 483公里
查特鲁国家赛 20,800羽65名 506公里
波治国家赛 23,195羽58名 457公里
还荣获:
莫伦 MD 布拉邦 2,769羽 1名 290公里 (2020)
亚精顿国家赛区 1,878羽 1名 535公里 (2019)
莫米尼斯 622羽 1名 104公里 (2019)
蒙特吕松 CFW 3,273羽 4名 531公里 (2019)
查特鲁 弗勒吕斯 2,472羽 4名 506公里 (2018)
查特鲁 CFW 1,888羽 4名 506公里 (2019)
布鲁瓦 683羽 4名 444公里 (2018)
苏瓦松 1,601羽 7名 190公里 (2018)
莫米尼斯 944羽 9名 104公里 (2018)
布鲁瓦布拉邦联盟 3,277羽 15名 444公里 (2019)
在赢得最佳鸽舍全国1位以及2020年KBDB中长距离老鸽鸽王全国1位和2位(4场比赛)中,她起了关键作用。
父亲: NL15-3506966 ‘黄眼直子’ 坤·明德豪(Koen Minderhout)
祖父: NL11-3014703 ‘黄眼’ 坤·明德豪(Koen Minderhout)原舍
荣获:
皮赛佛 6,340羽 1名
NPO 拉苏特年 3,077羽 1名
NPO 查特鲁 2,227羽 1名
摩林科 1,259羽 2名
吉恩省赛 3,548羽 3名
国际配对 ‘瓦伦蒂诺(Valentino)’ x ‘宝琳(Paulien)’ 直孙
祖母: BE10-2007026 ‘弗兰西斯卡(Fransiska)’ 阿尔伯特·德瓦(Albert Derwas)原舍
‘宝琳(Paulien)’ x ‘瓦伦蒂诺(Valentino)’ 直女
母亲 : NL14-1209905 ‘ 哈利直女’ 杨·胡曼斯(Jan Hooymans)原舍
世界铭鸽 ‘哈利’ 直女
外祖父
: NL07-2007621 ‘哈利’
荣获 :
布鲁瓦 37,728羽 1名
查特鲁 22,340羽 1名
查特鲁 21,520羽 3名
摩林科 4,418羽 6名
史坦贝克 4,358羽15名
外祖母 :
NL11-1522018 ‘小格特直孙女’ 贺尔曼·波夫(Herman Pouw)原舍
100% 迪克·凡戴克(Dirk Van Dyck)
‘所向无敌’ 回血
除了胡曼斯鸽和明德豪鸽获得了超级翔绩,我们来看一下其它例子,如“朋友Mon Ami” BE16-2060047。
And with this coupling Albert breeds the top pigeon ‘朋友Mon Ami’ and wins underneath results :
他是约翰&杨.巴克父子(John & Jan Baeck)的雌鸽和杨·胡曼斯的雄鸽结合作出。“朋友Mon Ami”荣获:
“朋友Mon Ami” B16-2060047
荣获:
19年波兹南奥林匹克全能鸽王
KBDB 全能鸽王省1位
布鲁瓦省赛 380羽 1名
莫伦 628羽 1名
苏瓦松 496羽 1名
舍雷维尔斯 867羽 1名
亚精顿国家赛 3,917羽 8名
威尔森省赛 2,235羽 9名
查特鲁省赛 3,449羽16名
亚精顿国家赛 5,828羽21名
‘朋友Mon Ami’与自己血系配对,也是锦上添花。
三代荣获三次国家赛1名……无与伦比
接下来我想更详细地介绍一下 ‘不可征服号(Invictus)’的优良基因, 他的女儿‘伊琳娜(Irina)’以及直孙女 ‘艾里萨(Irissa)’.
‘不可征服号(Invictus)’BE13-2110100 : 伊苏丹国家赛 16,615羽1名
‘伊琳娜(Irina)’ BE17-2065111 : 亚精顿国家赛 3,322羽1名
‘艾里萨(Irissa)’ BE18-2093077 : 亚精顿国家赛 4,606羽1名 (分速 27,892羽1名)
除了这些顶级翔绩,他们当然还获得了其他的一些高位入赏,这一切看起来如此美丽,父亲,女儿,孙女,...
‘不可征服号(Invictus)’BE13-2110100 Original Albert Derwa
‘不可征服号(Invictus)’ 由‘ 宝琳(Paulien)直子’ x ‘天之骄子直孙女’ 作出
父亲: BE12-2080129 ‘宝琳(Paulien)直子’
荣获 :
苏瓦松 1,831羽 1名
苏瓦松 282羽 1名
祖父: BE03-2182096 ‘瓦伦蒂诺(Valentino)’
荣获 :
森斯 346羽 1名
苏瓦松 2,168羽 5名
苏瓦松 291羽 6名
皮赛佛 235羽 6名
皮赛佛 703羽 6名
拉苏特年 7,682羽43名
‘瓦伦丁Valentin’ (1999年布鲁瓦省赛1名)直子
祖母:BE06-2090139 ‘宝琳(Paulien)’
2007年KBDB鸽王全国8位
鸽报(Ave Regina)鸽王1位
鸽报(Duivenblad)鸽王2位
查特鲁半国家赛 8,218羽 1名
盖雷省赛 1,298羽 1名
布鲁瓦省赛 2,836羽 2名
‘瓦列斯卡(Valeska)’ 直女
母亲: BE12-2080086 ‘天之骄子直孙女’ 阿尔伯特·德瓦(Albert Derwa)原舍
荣获:
蒙特吕松 428羽 9名
蒙特吕松国家赛区 4,106羽25名
拉苏特年国家赛 19,155羽68名
….
外祖父: BE11-2090101
荣获:
布鲁瓦 161羽 1名
布鲁瓦 1,721羽 2名
亚精顿国家赛区 7,608羽 17名
….
‘瓦伦蒂诺(Valentino)’ x ‘宝琳(Paulien)’ 直孙
外祖母: BE11-2090081 ‘天之骄子直女’
荣获:
亚精顿 7,608羽 9名
亚精顿国家赛 20,383羽42名
…
‘天之骄子’ 荣获:
2011年西欧国家杯全能鸽王全国1位
2013年尼特拉奥林匹克全能鸽王3位
‘天之骄子’ 是 ‘宝琳(Paulien)’ 最佳直子
‘伊琳娜(Irina)’ BE17-2065111 阿尔伯特·德瓦(Albert Derwa)原舍
荣获鸽王以及高位翔绩:
2018年KBDB 弗拉姆-布拉邦全能一岁鸽王省3位
2018年LCB王中王老鸽和一岁鸽王全国1位
2018年LCB中距离鸽王1位
2018年一岁鸽王1位
亚精顿国家赛 3,322羽 1名
布鲁瓦布拉邦联盟 2,953羽 1名
弗勒吕斯查特鲁 1,286羽 2名
勒芒斯布拉邦联盟 233羽 2名
苏瓦松6-联盟 2,008羽 4名
苏瓦松6-联盟 1,156羽 7名
苏瓦松6-联盟 1,497羽 8名
苏瓦松6-联盟 1,421羽11名
弗勒吕斯亚精顿 3,879羽15名
….
父亲: ‘不可征服号(Invictus)’BE13-2110100
‘不可征服号(Invictus)’ 的所有信息见上面
母亲: BE11-3070105 ‘格洛丽亚之姐妹’ 伯特·范登伯格(Bert Van den Berghe)原舍
100% 盖比·凡德纳比(Gaby Vandenabeele)
‘皇家灰Royal Blue’ x ‘蒙娜Mona’ 直女
‘闪电号(Bliksem)’ x ‘芙莉达(Frieda)’ 直孙女
‘碧波白腹号(Pipo Wittenbuik)’ x ‘芙莉达(Frieda)’ 直孙女
‘艾里萨(Irissa)’BE18-2093077 :
亚精顿国家赛 4,606羽 1名 (分速 27,892羽1名)
拉苏特年国家赛 9,469羽 53名
波治国家赛 23,191羽 83名
查特鲁国家赛 12,855羽 85名
查特鲁国家赛 20,800羽188名
…
父亲: NL10-1688331 ‘威廉叔叔’ 威廉·迪布鲁恩(Willem De Bruijn)原舍
祖父: BE08-6349076 ‘灰摩利斯’ 摩利斯·哈森东克斯(Maurice Haesendonckx)原舍
荣获 :
SSG/艾瑟尔鸽王2位
5 区鸽王2位
祖母: NL04-2055295 ‘米娜娃(Minerva)’
荣获 :
王中王鸽王全国2位
2004年NPO鸽王全国4位
母亲: ‘伊琳娜(Irina)’ BE17-2065111 :
‘伊琳娜(Irina)’ 的所有信息见上面
您肯定已经注意到了,只要您与德瓦的鸽子配对作育,它们比赛全部入赏,都是货真价实的获奖!